Beranda
/ Cara Eliminasi : Kapan Eliminasi Itu Dikurang Dan Ditambah Madematika - Reaksi eliminasi biasanya ditandai dengan berubahnya ikatan tunggal menjadi ikatan rangkap melalui terlepasnya molekul kecil seperti air, hcl, atau hbr.
Cara Eliminasi : Kapan Eliminasi Itu Dikurang Dan Ditambah Madematika - Reaksi eliminasi biasanya ditandai dengan berubahnya ikatan tunggal menjadi ikatan rangkap melalui terlepasnya molekul kecil seperti air, hcl, atau hbr.
Cara Eliminasi : Kapan Eliminasi Itu Dikurang Dan Ditambah Madematika - Reaksi eliminasi biasanya ditandai dengan berubahnya ikatan tunggal menjadi ikatan rangkap melalui terlepasnya molekul kecil seperti air, hcl, atau hbr.. Reaksi eliminasi biasanya ditandai dengan berubahnya ikatan tunggal menjadi ikatan rangkap melalui terlepasnya molekul kecil seperti air, hcl, atau hbr. Ada beragam potensi bahaya di tempat kerja. Like dan subscribe ya.sistem persamaan linear dua variabel (spldv)contoh spldv:2x + 3y = 84x + 5y = 14nilai x dan y yang memenuhi persamaan di atas disebut. Contoh penyelesaian spldv dengan metode eliminasi. Kalau kamu ingin belajar metode eliminasi secara lebih mendalam, coba simak penjelasan yang ada di sini.
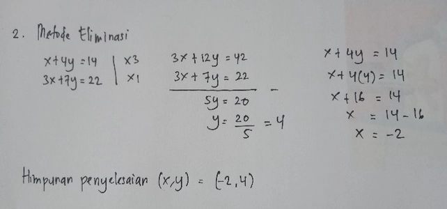
Jika ada masalah atau kurang mengerti dengan pembahasan di atas, silahkan tanyakan di kolom komentar. Metode ini dilakukan sampai tersisa satu buah variabel. Tentukan nilai variabel x dan y dari persamaan berikut menggunakan metode eliminasi. Sedangkan nilai y dicari dengan cara mengeliminasi variabel x. Untuk melatih lebih dalam mengenai cara menyelesaikan spldv metode eliminasi mari kita latih diri dengan beberapa contoh soal.
3 Cara Untuk Menyelesaikan Sistem Persamaan Aljabar Yang Memiliki Dua Variabel from www.wikihow.com Tehnik eliminasi data responden ini biasanya jarang sekali dipublikasikan karena termasuk salah satu jurus rahasia para pengolah data. Memahami cara eliminasi yang normal. Sebut saja misalnya bahaya kimia, bahaya biologi, bahaya fisik, bahaya ergonomi, bahaya psikologi, bahaya lingkungan dan bahaya radiasi. Sedangkan nilai y dicari dengan cara mengeliminasi variabel x. Dipublikasi pada 4 oktober 2013 oleh yosep dwi kristanto. Dengan menggunakan metode ini, kita harus mengeliminasi. Sebelum kita mengeliminasi suatu variabel tertentu dalam suatu persamaan, pastikan bahwa variabel yang akan. Contoh soal spldv metode eliminasi.
X + 2y = 20 2x + 3y = 33.
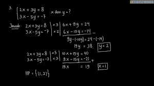
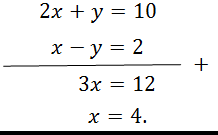
Jika variabelnya x dan y, untuk menentukan variabel x kita harus mengeliminasi variabel y terlebih dahulu, atau sebaliknya, bila ingin mencari variabel y maka kita harus. Di sini, kamu akan belajar tentang metode eliminasi melalui video yang dibawakan oleh bapak anton. Pada dasarnya, reaksi eliminasi dapat dianggap sebagai kebalikan dari reaksi adisi. Cara yang paling mudah dan cepat dalam menentukan penyelesaian sistem persamaan linear dua variabel (spldv) adalah metode campuran atau gabungan eliminasi d. Untuk spltv, kita gunakan metode eliminasi agar tersisa dua variabel saja. Lukman143 agustus 26, 2020 6. Metode eliminasi dapat digunakan pada semua sistem persamaan linear tiga variabel. Tehnik eliminasi data responden ini biasanya jarang sekali dipublikasikan karena termasuk salah satu jurus rahasia para pengolah data. Tentukan nilai variabel x dan y dari persamaan berikut menggunakan metode eliminasi. A11 x1 + a12 x2 + a13 x3 = b1 a21 x1 + a22 x2 + a23 x3 = b2 a31 x1 + a32 x2 + a33 x3 = b3 maka dapat dituliskan sebagai perkalian matriks ax = b yang berbentuk: Nilai x dicari dengan cara mengeliminasi (menghilangkan) variabel y. Sebelum kita mengeliminasi suatu variabel tertentu dalam suatu persamaan, pastikan bahwa variabel yang akan. Pelajaran, soal & rumus metode eliminasi.
Like dan subscribe ya.sistem persamaan linear dua variabel (spldv)contoh spldv:2x + 3y = 84x + 5y = 14nilai x dan y yang memenuhi persamaan di atas disebut. 1# menghitung solusi variabel x. Selain itu, karena sangat berdekatan dengan praktek memanipulasi data, maka dosen pun tidak memberikan materi ini di depan kelas. Memahami cara eliminasi yang normal. Di sini, kamu akan belajar tentang metode eliminasi melalui video yang dibawakan oleh bapak anton.
Pelajaran Soal Rumus Metode Eliminasi Substitusi Wardaya College from www.wardayacollege.com Tehnik eliminasi data responden ini biasanya jarang sekali dipublikasikan karena termasuk salah satu jurus rahasia para pengolah data. Carilah himpunan penyelesaian dari persamaan linear dua variabel berikut ini dengan menggunakan metode eliminasi! Jika terdapat baris yang seluruhnya terdiri dari nol, maka semua baris seperti. Lukman143 agustus 26, 2020 6. Metode yang kedua adalah metode eliminasi. Contoh soal spldv metode eliminasi. Pelajaran, soal & rumus metode eliminasi. 3x + 2y + 6z = 2 → (persamaan 1) 5x + 3y + z = 1 → (persamaan 2) cara eliminasinya dengan menghilangkan salah satu.
Dapat mengetahui cara menolong pasien bab dan bak;
Pembahasan 2.1 kebutuhan eliminasi urine. Memahami cara eliminasi yang normal. Carilah himpunan penyelesaian dari persamaan linear dua variabel berikut ini dengan menggunakan metode eliminasi! Di sini, kamu akan belajar tentang metode eliminasi melalui video yang dibawakan oleh bapak anton. A11 x1 + a12 x2 + a13 x3 = b1 a21 x1 + a22 x2 + a23 x3 = b2 a31 x1 + a32 x2 + a33 x3 = b3 maka dapat dituliskan sebagai perkalian matriks ax = b yang berbentuk: Jika ada masalah atau kurang mengerti dengan pembahasan di atas, silahkan tanyakan di kolom komentar. Kalau kamu ingin belajar metode eliminasi secara lebih mendalam, coba simak penjelasan yang ada di sini. Contoh tindakan eliminasi adalah berhenti menggunakan zat kimia beracun, menerapkan pendekatan ergonomic ketika merencanakan tempat kerja baru, mengeliminasi pekerjaan yang monoton yang bisa menghilangkan stress negatif, dan menghilangkan aktifitas forklift dari sebuah area. 4x + 5y = 14. Selain dengan menggunakan metode grafik dan substitusi, permasalahan sistem persamaan linear dua variabel (spldv) juga dapat diselesaikan dengan menggunakan metode eliminasi. Untuk menentukan penyelesaian spldv, ada beberapa cara, yaitu: Pelajaran, soal & rumus metode eliminasi. Artikel ini membahas tentang cara mudah menentukan himpunan penyelesaian (hp) sistem persamaan linear 3 variabel (spltv) dengan menggunakan metode eliminasi lengkap dengan contoh soal dan pembahasan.
Selain itu, karena sangat berdekatan dengan praktek memanipulasi data, maka dosen pun tidak memberikan materi ini di depan kelas. Memahami cara eliminasi yang normal. Menyelesaikan spldv dengan metode eliminasi. Jika ada masalah atau kurang mengerti dengan pembahasan di atas, silahkan tanyakan di kolom komentar. Pada dasarnya, reaksi eliminasi dapat dianggap sebagai kebalikan dari reaksi adisi.
Cara Menjawab Nga Menggunakan Metode Eliminasi Dan Substitusi Brainly Co Id from id-static.z-dn.net Adapun cara untuk menyelesaikan spldv dengan metode eliminasi adalah sebagai berikut. Metode eliminasi merupakan suatu metode yang digunakan untuk memecahkan atau mencari himpunan penyelesaian suatu sistem persamaan linear dua variabel dengan cara menghilangkan (mengeliminasi) salah satu variabelnya. Bis 70% rabatt zur uvp. Metode eliminasi adalah suatu metode yang digunakan untuk menentukan himpunan penyelesaian dari suatu sistem persamaan linear (spldv & spltv) dengan cara menghilangkan atau mengeliminasi salah satu variabel yang ada, sehingga tersisa (diperoleh) sebuah persamaan dengan satu variabel. We would like to show you a description here but the site won't allow us. Metode eliminasi merupakan metode penyelesaian sistem persamaan linear dengan cara menghilangkan salah satu peubah sehingga dihasilkan sistem persamaan linear dengan jumlah peubah lebih sedikit. Cara yang paling mudah dan cepat dalam menentukan penyelesaian sistem persamaan linear dua variabel (spldv) adalah metode campuran atau gabungan eliminasi d. Metode ini dilakukan sampai tersisa satu buah variabel.
Mari mengenal 5 teknik pengendalian bahaya di tempat kerja.
Jika variabelnya x dan y, untuk menentukan variabel x kita harus mengeliminasi variabel y terlebih dahulu, atau sebaliknya, bila ingin mencari variabel y maka kita harus. Dalam beberapa soal sering kita jumpai spldv yang belum baku. Sebelum kita mengeliminasi suatu variabel tertentu dalam suatu persamaan, pastikan bahwa variabel yang akan. Carilah himpunan penyelesaian dari persamaan linear dua variabel berikut ini dengan menggunakan metode eliminasi! Bis 70% rabatt zur uvp. Dalam hal demikian, spldv itu harus diubah dahulu menjadi spldv. Contoh penyelesaian spldv dengan metode eliminasi. Di sini, kamu akan belajar tentang metode eliminasi melalui video yang dibawakan oleh bapak anton. 1# menghitung solusi variabel x. Metode eliminasi adalah suatu metode yang digunakan untuk menentukan himpunan penyelesaian dari suatu sistem persamaan linear (spldv & spltv) dengan cara menghilangkan atau mengeliminasi salah satu variabel yang ada, sehingga tersisa (diperoleh) sebuah persamaan dengan satu variabel. A11 x1 + a12 x2 + a13 x3 = b1 a21 x1 + a22 x2 + a23 x3 = b2 a31 x1 + a32 x2 + a33 x3 = b3 maka dapat dituliskan sebagai perkalian matriks ax = b yang berbentuk: 3x + 2y + 6z = 2 → (persamaan 1) 5x + 3y + z = 1 → (persamaan 2) cara eliminasinya dengan menghilangkan salah satu. Nilai x dicari dengan cara mengeliminasi (menghilangkan) variabel y.
Berbagi
Posting Komentar
untuk "Cara Eliminasi : Kapan Eliminasi Itu Dikurang Dan Ditambah Madematika - Reaksi eliminasi biasanya ditandai dengan berubahnya ikatan tunggal menjadi ikatan rangkap melalui terlepasnya molekul kecil seperti air, hcl, atau hbr."
Posting Komentar untuk "Cara Eliminasi : Kapan Eliminasi Itu Dikurang Dan Ditambah Madematika - Reaksi eliminasi biasanya ditandai dengan berubahnya ikatan tunggal menjadi ikatan rangkap melalui terlepasnya molekul kecil seperti air, hcl, atau hbr."